This site is a commentary site and is not authorized by Orange County Acting Academy. ocactingacademy.com is an independent entity and is not affiliated with, endorsed by, or sponsored by ocacting.com. The Orange County Acting Academy name and logo are trademarks of Orange County Acting Academy. No infringement of trademarks intended.
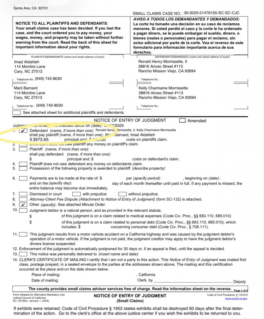
My wife and I are the former landlords of Kelly Charmaine Morrissette/Fancher, Ronald Henry Morrissette II, and their young son (owners of Orange County Acting Academy in Southern California). They signed a year long lease to rent our property in Rancho Santa Margarita, CA, from July 1st 2024. After signing the lease, they asked if it would be ok to pay only the security deposit at signing and pay the 1st month’s rent on July 1st when the lease starts, and we never received a full months rent nor did we receive any rent from them for the coming months. We had to lawyer up and file an ‘Unlawful Detainer’ lawsuit against Ron & Kelly as they continued to hold our property hostage for 5.5 months without paying rent. Thankfully, our lawyer was really switched on, and we won our lawsuit against them and were able to evict them. We now have a judgement against them (please see images below), totaling roughly over $33,000 plus interest.
We also have proof that Ron listed our property on Airbnb illegally in order to sublease it for cash, which was in violation of our HOA and also our lease terms.
Unfortunately, we aren’t the only people that had an experience like this with them. We have had their former employees and customers reach out to us with similar issues of non-payment and feeling scammed.







